无障碍
简体版
|
繁体版
支持IPv6
智能问答
网站首页
魅力兴安
聚焦兴安
公共服务
政府信息公开
社情民意
网上办事
26700361
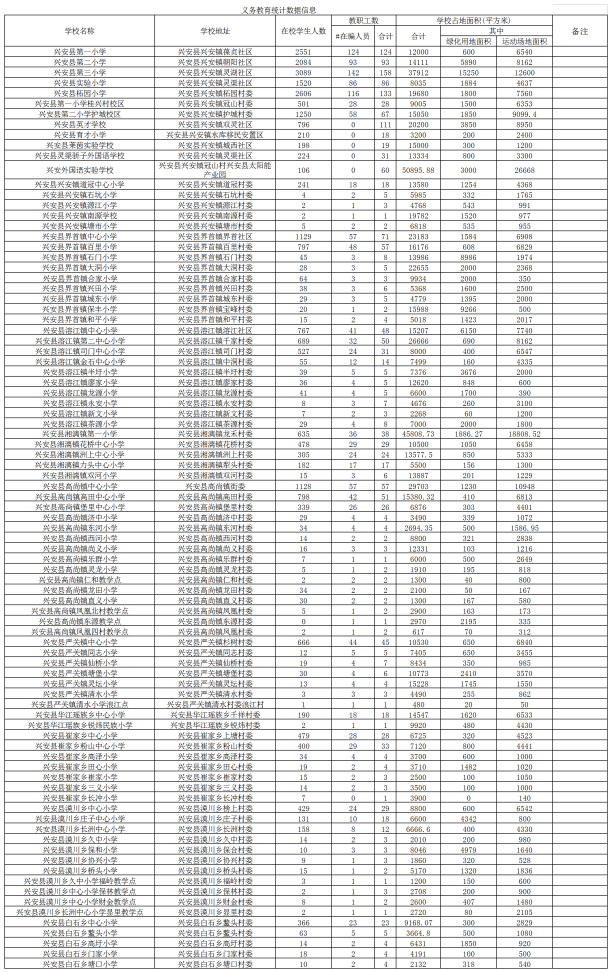
2023年兴安县(小学)义务教育统计数据信息
20
兴安县教育局
兴安县教育局
2023-12-16
240753
小学教育
当前位置:
首页
>
公共服务
>
主题服务
>
教育
>
小学教育
2023年兴安县(小学)义务教育统计数据信息
2023-12-16 17:25 来源:兴安县教育局 作者:兴安县教育局
我要收藏
公共资源调用站点
文章分享
分享
微信
头条
微博
空间
qq
【字体:
大
中
小
】
打印
文件下载:
关联文件: